Пропорції. Основна властивість пропорції. Поділ числа на частини.

16.04.2014

Пропорцією називається рівність наступних відношень:

або

a:b=c:d

a і d - називають крайніми членами (елементами) пропорції, b і c - середні члени (елементи) пропорції.

Основна властивість пропорції: якщо пропорція правильна, то добуток крайніх членів пропорції дорівнює добутку середніх її членів.

ad = bс

З рівності ad = bс можна скласти вісім пропорцій

а : b = с : d,
с : d = а : b,
d : b = с : a,
 b : d = а : с,
а : с = b : d,
 c : а = d : b,
d : с = b : a,
 b : а = d : с.

 

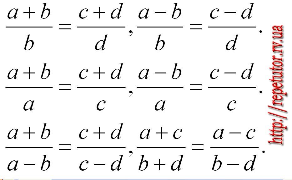
Наведені пропорції свідчать про те, що у будь-якій пропорції можна переставляти: середні члени; крайні члени; середні і крайні; крайні на місце середніх і середні на місце крайніх. Похідні пропорції:

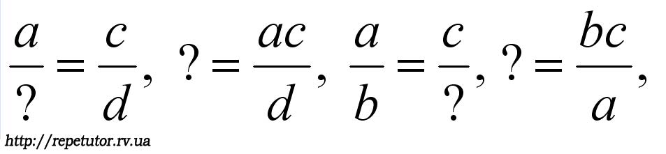
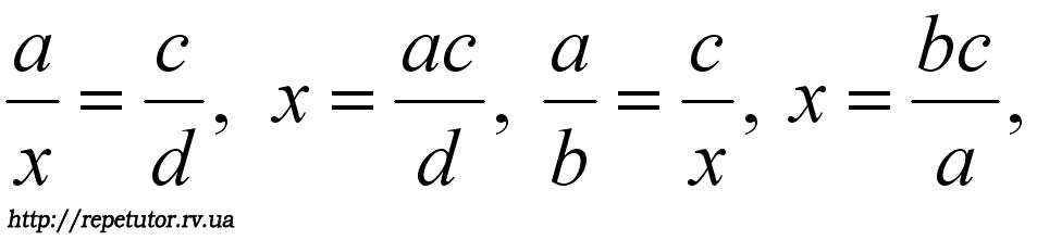
Знаходження невідомих членів пропорції. Щоб знайти невідомий середній (крайній) член пропорції, треба добуток крайніх (середніх) членів розділити на відомий середній (крайній) член даної пропорції.

або для більш зручності розуміння запису:


Стаття написана спираючись на джерело:

Гладунський В. Н., Гладунська Г. А. МАТЕМАТИКА. Означення, формули, задачі. Навчальний посібник. — Вид. 2-ге, доповнене. — Львів, Афіша, 2004 — 304 с.